Senode Graph Sequencer

I've always been fascinated by algorithms and machines that can transform a simple set of rules into something larger and immersive. As I child, I adored the complexity of Pinball machines that created whole immersive worlds despite their simple principle of phycisally bouncing a ball over a table. Later, Conway's Game Of Life even promised to model an entire evolutionary biology based on only four rules on a binary two-dimensional grid. For me it was clear, that deterministic algorithms and probability theory are ingredients that can turn simple concepts into powerful systems.

I'm not entirely sure at what point in time I discovered that this principle is also applicable to music. It was in 2007 when I got grip on a used Nord Modular G2 synthesizer. With this system, I started to model complex probabilistic chord and bass progressions using its sequencer, random number generators and logic gate modules. But I also combined it with MIDI input to step the progressions forward in interaction with my drum kit using drum triggers. I built a music machine that had its own personality and rules, that listened to my playing and inspired me to challenge it with my performance.

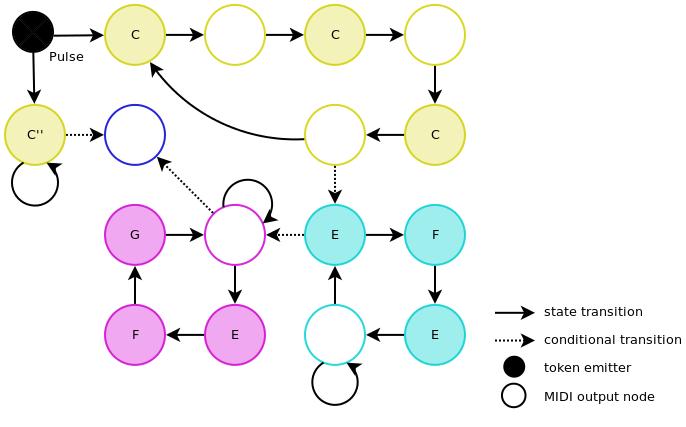
Although it's always inspiring to work within the limitations of technology, I noticed my workflow of composing music became slower and less intuitive, and my patches grew and memory of the Modular G2 became full. I started to sketch a simple idea for a sequencer that is based on finite state machines, a stateful network of nodes who create sounds and are interconnected with edges, who describe the transition logic between states. In early 2013, I participated in one of the first Musicmaker's Hacklab and built a prototype mxj Java Extenson for Max/MSP. I showcased the software that had start nodes listening to MIDI input and probabilistic nodes that added randomization into the transition process. This was the birth of Senode.

After the positive feedback I received I decided to built a product, and started to port the idea to C++ using the JUCE Framework, so that it can run inside music setups across platforms. Version 0.1.0-alpha was released in 2014 to a handful of testers, and I started composing and performing with it running on my Mac Mini on stage. The initial idea of a probabilistic sequencer proved to be very versatile and hasn't greatly changed since then. However, it was challenging for me to build the graphical user interface that allowed an intuitive workflow, but also enough complexity to capture musical expression, timing and dynamics. In the following years I mainly used Senode to drive my own music production workflow, rather than polishing it for a larger audience.

In that time I was only partially aware of the minimal music movement of composers such as Steve Reich or Terry Riley, although I had intuitively chosen In C as one of the example pieces for my Senode sketches. Only later, I started to understand how well the modular composition approach matches with the ideas of musical minimalism. Listen to "No Gravity" of my 2023 album "Monolog Memories" to get an impression of this influence.

It was the ongoing support from the media and musicians over the following years that drove the project forward. I gave interviews for German software magazines and radio stations and was invited to perform at TEDxCluj, but still the software was not yet available for the public. I finally decided that Senode needed to be released with a reduced set of features, dedicated to simple music composition, but with the powerful outcome I had experienced from of the Game of Life. As the target platform I chose iOS, as it scored the highest number of answers from a survey I sent out to my maiing list, and it proved to be the the most powerful platform for music apps at the time, including the most straightforward distribution channel.

The public iOS release in 2017 was a huge success. We organized a little launch party as part of the Ableton User group at Panke Berlin, where I gave a little talk and demoed the software with my drum kit. I received a lot of great feeback and many feature requests in the first year. Until today Senode gained many thousand users on iOS and I kept on adding features to the software, such as Ableton Link support, AUv3 plugin compatibility, arpeggiator and scene management. With my own live set evolving, more ideas will find their way into Senode slowly over time. For a full overview on the possibilities of this sequencer, I'd recommend you to visit the product site or simply try it out yourself!